函数专题讲解:探索函数周期性的奥秘
2025-10-28 01:22 来源:网络 点击:
函数专题讲解:探索函数周期性的奥秘
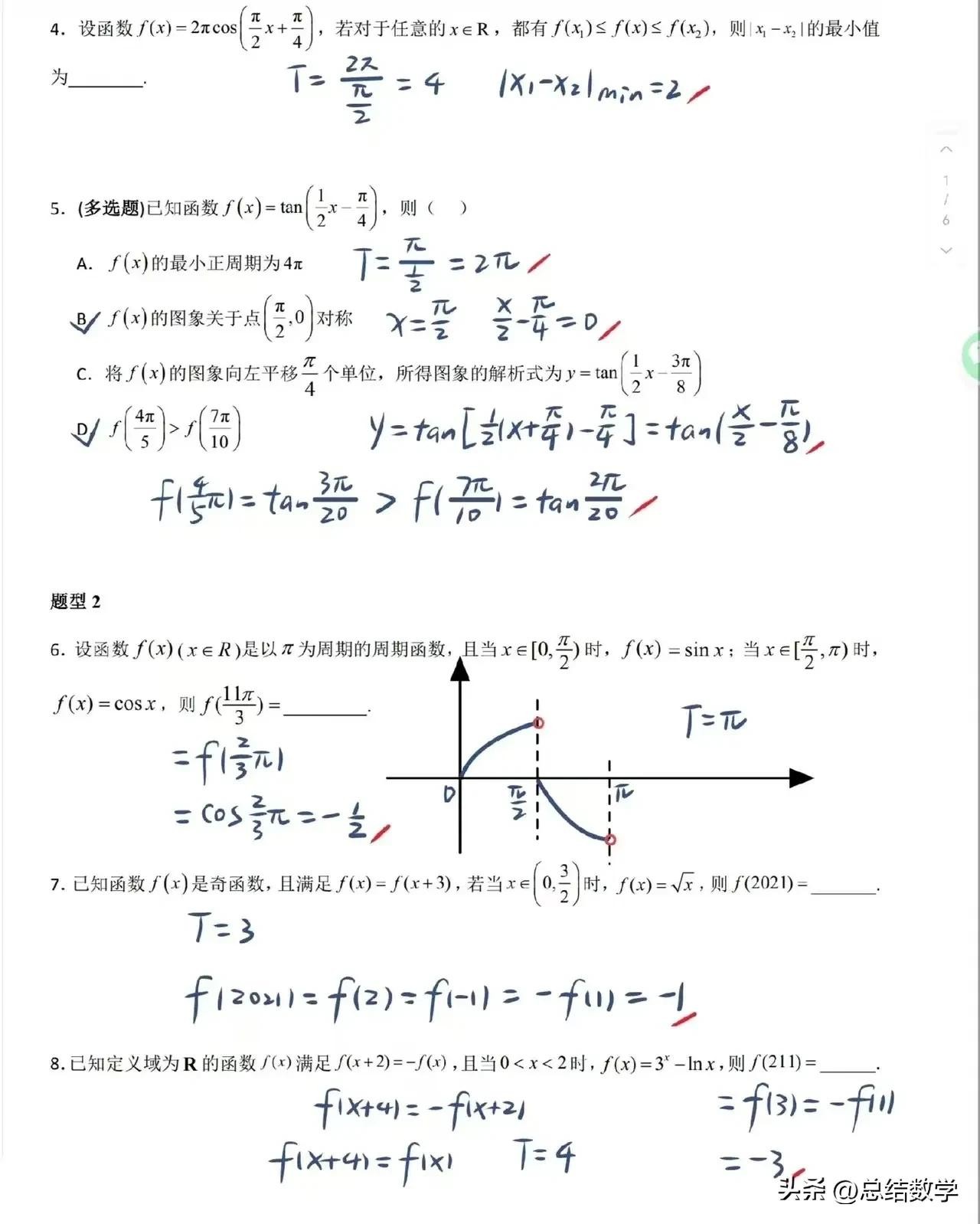
第33讲:函数周期性精讲精练解析过程详细版#高中数学#






相关标签:
-
- 帝纳斯德凯戴拿,特利迦,布莱泽六人组,究极六奥雷欧奥特曼壁纸
-
2025-10-28 01:20:11
-
- 澳大利亚大洋路,世界上最美的沿海公路,一定要去系列
-
2025-10-28 01:17:56
-
- 阿哲宣布退网,雨轩大骂,王冕表态YY局面再次混乱!
-
2025-10-28 01:15:41
-
- 《静夜思》——李白
-
2025-10-28 01:13:26
-
- 中国联通用户现大范围无服务、空号状态
-
2025-10-28 01:11:12
-
- 临沂传统村落:平邑县地方镇九间棚
-
2025-10-28 01:08:57
-
- 开心一刻,经典幽默冷笑话
-
2025-10-28 01:06:42
-
- 华为回应部分手机只能充电到80%:将尽快修复
-
2025-10-28 01:04:27
-
- 河南农信社总资产已超2万亿,存款余额1.73万亿
-
2025-10-28 01:02:12
-
- 专访“南京藏尸案”死者姑妈:案发前嫌犯曾被娘家人打
-
2025-10-27 16:56:46
-
- 山东荣成:天鹅湖雪后初霁
-
2025-10-27 16:54:31
-
- 厦门组建100亿先进制造业基金
-
2025-10-27 16:52:16
-
- 金鹰百货新挑战,转型阵痛与客流困境
-
2025-10-27 16:50:01
-
- 国庆双节,推荐6道蒸菜,味道好营养高,孩子爱吃补钙健脾助长高
-
2025-10-27 16:47:46
-
- 俄乌战火三年,将迎终点?
-
2025-10-27 16:45:31
-
- 壁纸系列—爱意满满的520壁纸
-
2025-10-27 16:43:16
-
- 暴力催收:危险且违法的选择
-
2025-10-27 16:41:02
-
- 「大乎史话」山东籍烈士介绍第32位:对越自卫反击战牺牲的周茂盛
-
2025-10-27 16:38:47
-
- 中国女足战平日本队东亚杯中国女足获亚军
-
2025-10-27 16:36:32
-
- 小雏菊壁纸:春光明媚,清新向阳
-
2025-10-27 16:34:17



中国十大黑恶县城(中国十大黑恶县城有哪些)
【石井四郎的女儿还在吗】石井四郎女儿石井春海怎么死的?
元世祖忽必烈,一个在中国历史上留下了深刻印象的人物
世界上最贵的香烟,好彩香烟(60万一盒)
中国最严格的监狱(中国最严监狱排名)
中国最穷的十大城市,排名第一的是贵阳
中国十大超穷省会城市排行榜 贵阳第一
中国“素质最差”三个省排行,国内“素质最差”省有哪些
十大抗日小说排行榜 让你热血澎湃的经典之作
中国最狠十大监狱(女子监狱怎么解决需要)