Lp函数的平均收敛和依测度收敛
Lp函数的平均收敛和依测度收敛
Lp函数依测度收敛是一个比较难理解的概念。
要理解这个概念,先以最简单的方式理解测度。
比如,在区间[0,1]内,有理数的测度为0,而无理数的测度为1,也就是非0。
再看Lp函数平均收敛的概念:

平均收敛的意思比较简单,大概可以认为,两个函数之差的范数(可以按照距离理解)的极限等于0。


在平均收敛的前提下,因为两个函数之间的距离接近于0,如果存在不等于0的点,也就是两者距离大于某个任意正数,那这些点可以认为只是有理数点,因为有理数的测度为0。这种情况称为依测度收敛。

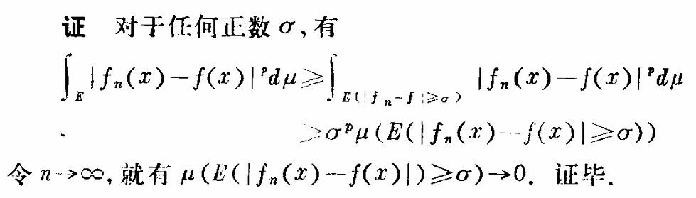
比如上图中的两个函数,其函数值之差接近于0,称为平均收敛。如果存在函数值之差大于0的点,那这些点可以认为只是X轴上的那些有理数点,这是因为有理数的测度为0。这种情况称为依测度收敛。
-
- 33亿集资诈骗案终审 判决冯翔无期徒刑
-
2026-03-26 17:30:13
-
- 「图集」国际护士节:白衣天使守护一生
-
2026-03-26 17:27:59
-
- #22万789匹领克王来了#
-
2026-03-26 17:25:45
-
- 珍爱生命、远离毒品——请关注“甘肃禁毒”微信公众号
-
2026-03-26 17:23:31
-
- 长城车标确定不是在搞“生殖崇拜”?
-
2026-03-26 17:21:16
-
- 云南师范大学附属俊发城幼儿园娃娃手绘10米植树环保主题画
-
2026-03-26 17:19:02
-
- 迎贺校庆!河北正定中学120周年校庆专题网站上线
-
2026-03-26 17:16:48
-
- 烟鬼组合:2017最强电音专辑即将发布!
-
2026-03-26 17:14:33
-
- 喜讯频传!泉州福兴妇产医院一天迎来3个怀孕报喜!
-
2026-03-26 17:12:19
-
- 喜讯频传!泉州福兴妇产医院一天迎来3个怀孕报喜!
-
2026-03-26 17:10:05
-
- 生化危机2重制版多少钱 生化危机2重制版价格以及内容介绍
-
2026-03-26 17:07:50
-
- 日本女偶像身高181厘米 梦想成为天空树形象大使
-
2026-03-26 17:05:36
-
- 国内美妆奥斯卡 杰威尔成三冠王
-
2026-03-26 17:03:22
-
- 走马观花|海上幻境养马岛
-
2026-03-26 17:01:07
-
- 小米进行第二轮股票回购 1亿港元回购980万股股票
-
2026-03-26 16:58:53
-
- 我院集中观看红色影片《八月一日》
-
2026-03-26 16:56:39
-
- 英国都市传说:恐怖墓园里的吸血鬼王
-
2026-03-26 09:47:41
-
- 亚马逊鹦鹉:一种戴帽子的鹦鹉_广大分散于美洲陆地
-
2026-03-26 09:45:37
-
- 世界上最大的蟒蛇有多大?百年来最长的蟒蛇_长14米多
-
2026-03-26 09:43:33
-
- 蜜蜂的天敌是什么?巢虫成中华蜜蜂最大克星_损害幼虫
-
2026-03-26 09:41:28



中国十大黑恶县城(中国十大黑恶县城有哪些)
【石井四郎的女儿还在吗】石井四郎女儿石井春海怎么死的?
元世祖忽必烈,一个在中国历史上留下了深刻印象的人物
世界上最贵的香烟,好彩香烟(60万一盒)
中国“素质最差”三个省排行,国内“素质最差”省有哪些
中国最严格的监狱(中国最严监狱排名)
中国最穷的十大城市,排名第一的是贵阳
中国最狠十大监狱(女子监狱怎么解决需要)
中国十大超穷省会城市排行榜 贵阳第一
十大抗日小说排行榜 让你热血澎湃的经典之作